แพลตฟอร์มการตรวจสอบกฎระเบียบของโบรกเกอร์ทั่วโลก
WikiFX
ค้นหานายหน้า
ภาษาไทย

简体中文

繁體中文

English

Pусский

日本語

ภาษาไทย

Tiếng Việt

Bahasa Indonesia

Español

हिन्दी

Filippiiniläinen

Français

Deutsch

Português

Türkçe

한국어

العربية

اردو

Download

Go4Rex ดำเนินการโดยไม่สนใจมาตรฐานกฎระเบียบ

Olga Palacios
ภายใน 1 ปี
ไม่ได้รับการยืนยัน

การเปิดเผย

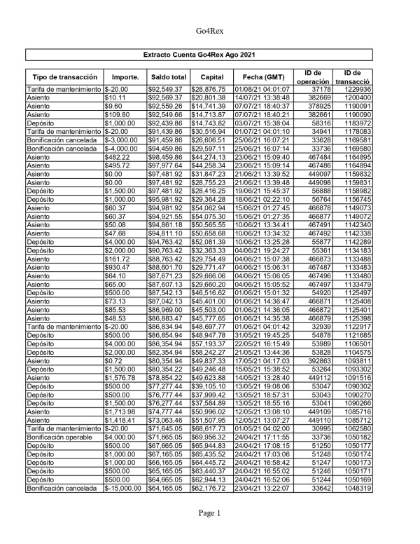
ฉันเปิดบัญชีกับ Go4Rex เมื่อมกราคม 2021 และได้รับที่ปรึกษาที่ต้องการให้ฝากเงินมากขึ้นอย่างต่อเนื่อง ให้คำแนะนำการลงทุนที่สร้างความสับสนและทำให้กิจกรรมการซื้อขายของฉันถูกจัดการ ถึงแม้จะเป็นมือใหม่ ฉันถูกนำเข้าสู่ตำแหน่งที่มีความเสี่ยงสูงและถูกกดดันให้ฝากเงินในช่วงเวลาที่กำลังกำลังตัวเพื่อกู้คืนขาดทุนหรือปลดล็อคโบนัส การพยายามถอนเงินซ้ำๆ ถูกตอบรับด้วยเงื่อนไขที่ต้องการฝากเงินเพิ่มเติม ขณะที่ฉันปฏิเสธ ตำแหน่งถูกปิดโดยไม่แจ้งให้ทราบ โบนัสถูกยกเลิก และการสื่อสารกลายเป็นการหลบหลีก การทำลายสุดท้ายเกิดขึ้นเมื่อแพลตฟอร์มถูกบล็อกและการสื่อสารทั้งหมดหยุดลง Go4Rex ซึ่งดำเนินการโดย FX Capital Ltd ในเซเชลส์ ดำเนินการโดยไม่สนใจมาตรฐานข้อบังคับ แทรกแซงในการตัดสินใจของฉัน และทำให้ฉันเสียเงินทั้งหมดเกือบ 60,000 ดอลลาร์

ดั้งเดิม

Go4Rex acted without regard for regulatory standar

I opened an account with Go4Rex in January 2021 and was assigned an advisor who continuously pushed for higher deposits, gave misleading investment advice, and manipulated my trading activity. Despite being a beginner, I was guided into high-risk positions and pressured to deposit funds under the pretext of recovering losses or unlocking bonuses. Repeated attempts to withdraw funds were met with conditions that required further deposits. When I refused, positions were closed without notice, bonuses were revoked, and communication became evasive. The final blow came when the platform was blocked, and all communication ceased. Go4Rex, operated by FX Capital Ltd in Seychelles, acted without regard for regulatory standards, interfered in my decision-making, and misled me repeatedly, causing a total loss of almost $60,000.

2025-06-01

โคลอมเบีย

ปัญหาการถอนเงิน

ความคิดเห็นมากที่สุดประจำสัปดาห์

  • Axi

  • pepperstone

  • OVAL

  • M4Markets

    4
  • NPB MARKETS

    5
  • CRUCIAL MARKETS

    6
  • Jimifx

    7
  • Trade24Seven

    8
  • Invidiatrade

    9
  • GVD Markets

    10

ต้องการทราบข้อมูลเพิ่มเติม

ดาวน์โหลดแอป WikiFX